区块链学院关于2024-2025学年学业奖学金候选人名单公示

学业奖学金
候选人名单
2024-2025学年学业奖学金

创业创新 知识管理

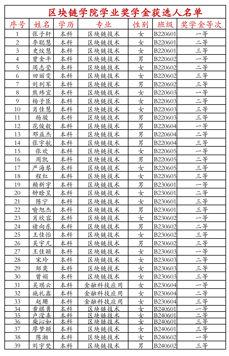
按照《关于做好2025年我校本专科生国家奖助学金评审工作的通知》(江软校发(2025)124号)以及《江西软件职业技术大学学业奖学金评审办法(修订)》(江软校发(2025)70号)要求,经学院宣传、学生本人申请、班级评议、学院国家奖助学金评审工作领导小组进行资格审查和评选,拟推荐张子轩等63名候选人。

学业奖学金候选人名单公示
三百.png

523.png

评审公示及监督

现将评审结果予以公示,公示期内凡对评审结果有意见者均可直接向学院反映。

监督电话:13970077073(晏书记)

公示时间:10月20日-10月24日

区块链学院

2025年10月18日

图文编辑:谭可昕

排版:谭可昕

初审:刘学琴

复审:方悦

终审:晏能谊